Imagenes De Resolucion De Triangulos Rectangulos

Los casos que se te pueden presentar son limitados y muy sencillos de resolver.
Imagenes de resolucion de triangulos rectangulos. 07 may 2017 explora el tablero de camila cambronero resolución de triángulos rectángulos en pinterest. Para encontrar el cateto faltante y los dos ángulos agudos. En la resolución de triángulos rectángulos nos encontramos 4 casos. Si has llegado hasta aquí es porque necesitas clases de matemáticas online si después de leer esto quieres que te ayude a resolverlo o que te despeje alguna duda puedes hacer dos cosas.
En los siguientes ejemplos verás al mismo tiempo que estudiamos la resolución de triángulos rectángulos cómo se emplea la función inversa para encontrar el valor del ángulo. Hace pocos días aprendimos el enunciado y la utilidad del ya famoso teorema de pitágoras llegó el momento de aplicarlo y para ello nada mejor que practicar con ejercicios de resolución de triángulos rectángulos. Obtener el ángulo que forma un poste de 7 5 m de alto con un cable tirante que va desde la punta del primero hasta el piso y que tiene un largo de 13 75 m. Ver más ideas sobre matematicas fisica matematica triangulos.
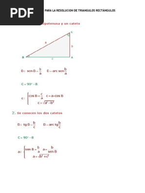
Así pues desde el punto de vista de la trigonometría consideraremos triángulos congruentes como triángulos iguales porque sólo nos interesa la medida de sus elementos. Apuntes escolar matemáticas trigonometría resolucion de triangulos rectangulos. Supongamos que se conoce la hipotenusa y el cateto. De la figura sabemos que.
Julio rios explica cómo solucionar cuatro triángulos rectángulos utilizando conceptos de la trigonometría y de la geometría. A partir de ellos se utilizan las siguientes herramientas para el cálculo de sus lados y sus ángulos. Es decir que cualesquiera triángulos que seamos capaces de dibujar con esos datos serán iguales a efectos trigonométricos. Da clic en la imagen para ampliar o reducir.
Calcula la longitud de cada uno de los catetos del triángulo rectángulo siguiente. Ahora se tienen únicamente los valores de dos lados con los cuales se debe obtener e. Obtención del valor de un ángulo agudo conocidos dos lados del triángulo. La resolución de triángulos rectángulos consiste en calcular las medidas de sus tres lados y el valor de sus tres ángulos cuando ya conocemos como mínimo dos de estos elementos.
El principio de que la suma de los tres ángulos es igual a 180º. Para la resolución completa de un triángulo cualquiera basta con conocer tres de sus datos salvo si se trata de los tres ángulos. O seguir buscando. Recuerda antes de hacer los cálculos que debes indicar en la calculadora que las medidas de los ángulos que utilizaremos están en grados sexagesimales.
Resolver un triángulo es dar la medida de sus 3 lados y de sus tres ángulos.